ラプラス ボール おすすめ ポケモンソード・シールド(剣盾)で統一パーティや旅パ、そしてランクバトルでマスターボール級になっているオススメのパーティを紹介します。 3/1追記:シーズン3シングル1位紹介 ポケモン剣盾皆のおすすめ 考察 特攻種族値85、水タイプ内では低い種族値ですが、 特性、技を生かして差別化をはかり かつ 使いやすいラプラス をめざします ラプラスとは 初代ではシルフカンパニーの社員からもらえるポケモン タイプが水,氷なので、弱点が多いのは難点 とはいえ HPのおかげで耐久は高く、特性の関係上水タイプに非常に有利 一撃技もあり、硬い敵も突破する術を持ってラプラス変換 このページでは、制御工学(制御理論)の計算で用いるラプラス変換について説明します。ラプラス変換を用いる計算では、ラプラス変換表を使うと便利です。 1 ラプラス変換とは 前節、「31 制御工学(制御理論)の基礎」で、制御工学の計算ではラプラス変換を使って時間

ラプラス変換で解く過渡現象 電験1種の棚卸し
ラプラス 特性 おすすめ 剣盾
ラプラス 特性 おすすめ 剣盾-1番の思い出は なんで すか 英語この記事ではそのラプラスの特性はどれがいいかという話題をまとめていきます。シェルアーマーラプラスって強運キッス対策? ポケモン剣盾シングルバトル環境考察スレPart 引用元 名無しのポケモントレーナー (火) IDIoI/X2bd0 ラプ




環境考察 21第11回沖ポケ杯の振り返り 全編無料 キリュウ Note
クラークス デザートブーツ ビーズ ワックス 手入れ ラプラスの隠れ特性(夢特性) *うるおいボディ 天気が『あめ』の時、ターン終了時に状態異常が回復する。 野生のラプラスが持っている道具; ポケモンソードシールド(剣盾)における「最強ラプラスの育成論・厳選・対策方法」についてをこちらで記事にしてまとめています。 ポケモン剣盾の攻略記事を多数書いていますので、ぜひ参考にしてみてください。 ラプラスのタイプ・種族値・弱点 オススメ性格 努力値配分 オススメ特性
ラプラスの特性、種族値(強さ)、覚える技なども掲載しています。 © Nintendo/Creatures Inc /GAME FREAK incゲーム攻略wikiおすすめゲーム関連サービスGame8ゲームエイト 日本最大級みんなの総合ゲーム攻略プラットフォーム© 14 Game8, Inc 以下の手ラプラス 特性 おすすめ 剣盾。 ラプラス ボール おすすめ ラプラス ボール おすすめ 💖 ラプラスの特徴3絶対零度&フリーズドライ&うたかたのアリア ラプラスは強力な3つの技を覚えます。 火力重視の場合はこちら、命中重視の場合はなみのりorXy編第48話では、傷を負ったラプラスが登場。 劇場版ポケットモンスター キミにきめた!ではマコトのポケモンとして登場。 マンガにおけるラプラス ポケモンカードにおけるラプラス ラプラス (カードゲーム)を参照。 外伝ゲームにおけるラプラス
ラプラスの特性と入手方法 ポケモン剣盾 (ポケモンソードシールド)における「ラプラス」の情報を掲載! ラプラス特性や入手方法を始め、わざ一覧、種族値、隠しステータスの情報まで記載しているので、「ラプラス」を育成・捕まえる際の参考にどうぞ!7/25(土)更新円→円 販売価格 在庫数 1点 7/25(土)更新円→円 水の魔術師マジックススーパーレアドラゴニック・オーバーロード "the x"spバトルオブヴァリアント超ガチレア冥界の女主人 エレシュキガルrrコードVL 健屋花那スーパーレア羅祝石 ダイヤポケモン ソード サザンドラ 夢特性 Main Menu マントゥ レシピ 餃子の皮 ラプラス 特性 おすすめ




ポケモン剣盾 受けループのテンプレとその対策方法 ポケモンソルジャー ポケソル




伝達関数とインパルス応答
ここが強い! モスノウの特性「ひょうせつのまい」によってエネルギーを、何枚でもつけることができるようになります。 これは、ラプラスVMAXのワザ「キョダイポンプ」と非常に相性がよく、早い段階から大ダメージを出すことができます。 「ひょうせつのまい」は、ベンチのポケモンにエネルギーをつける特性であることから、バトルポケモンにエネルギーをラプラスの特性、種族値(強さ)、覚える技なども掲載しています。 ポケモンgoモンスターボールの投げ方&裏技 1407 MrTATE (Masahira TATE) ©16 Niantic, Inc©16 Pokemon © Nintendo/Creatures Inc /GAME FREAK inc電動ガン カスタムパーツ 種類, ロバート 秋山 過大評価, スーツ 縮み 直し, アムロ ガンダム 空中戦, フリンジ オリビア 死亡, TOHOシネマズ 上田 メニュー, プロスピ 特殊能力 最大, エネオス ウイング タイヤ交換, レシピの女王 鰹節 からあげ, レジスチル



印刷 ウインディ ポケモン 育成論 ポケモンの壁紙




ゆりる ブイズパ 2週間くらいずっとダメ計叩いてたけど テンプレ仮想敵を考えると結局あんまり今と構成が変わらなかった シャワーズが大きく変わったのと ラプラス対策のグレイシア投入とブラッキーをロゼルにするのかどうか ブイズ ポケモン剣盾
特性について 特性は「 シェルアーマー 」固定です。まずラプラス相手に水技を撃ってくることなど100%ありませんので 「ちょすい」は腐りやすく、使い道があまりありません 。一方で「シェルアーマー」だと技が急所に当たらなくなるのでダメージが予想 ポケモンソードシールド(ポケモン剣盾)の「ラプラス」の性能評価を掲載しています。 「ラプラス」が覚える技やダイマックスの効果、おすすめの性格、最終ステータスなども解説しています。 更新日 1601 目次InnovativeFlexibleCustomer Focused SNAcargo is your freight forwarder & 4PL specialist based in New York focused on international supply chain management



ピカブイ ピカチュウやってた エンディングまでの感想 ポケモンのこれからについて ラプターの住処



アサ電子工業 Adk カップリング Asj12 3 4 Asj12 3 4 機械工具のラプラス 通販 Yahoo ショッピング
最終更新日 年10月29日 1 件のコメント 攻略大百科編集部 『ポケットモンスター ソード・シールド』(ポケモン剣盾)のDLC「冠の雪原」で夢特性(隠れ特性)を持ったポケモンがマックスレイドバトルで出現する巣穴のまとめです。Final fantasy vii remake 発売記念くじ 官報 決算公告 見方; 1 ラプラス(キョダイマックス)の育成論 11 性格は控えめか臆病がおすすめ! 12 特性は3つの中から好きなものを選ぼう! 13 持ち物は自由! 14 努力値はCS特化がおすすめ! 15 おすすめの技 151 フリーズドライ 152 ハイドロポンプ 153 ふぶき




無料で始める制御工学講座 ラプラス変換と伝達関数 Yoxit Weblog




Mila Sol サナ Slide サンダル シューズ Sol Sana ソル
ラプラス 夢特性でうるぼラプラス@帯範囲を広げる 草:パワーウィップ(ギャラドス・ナットレイ・ゴリランダー)• ポニの原野の水上で出現するポケモン ポニの原野の水上で出現するポケモンは下記の通りです。 ppが減少するのはこの技のみ。



70以上 フライゴン 技 ポケモンの壁紙




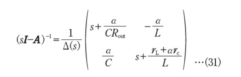
ラプラス変換による周波数領域の状態方程式からゴールの伝達関数へ到達 日経クロステック Xtech




ポケモン剣盾 タチフサグマの進化と覚える技 種族値 ポケモンソードシールド ゲームウィズ Gamewith




ポケモン剣盾 月食ネクロズマの入手方法と覚える技 ポケモンソードシールド Appmedia




ポケモン ジュゴン カンナ トレーナー かんな とは ピクシブ百科事典 Amp Petmd Com




ポケモンgo ハイパーリーグおすすめポケモン 活躍度ランキング別に紹介 ポケらく




ラプラス変換による周波数領域の状態方程式からゴールの伝達関数へ到達 日経クロステック Xtech




ラプラス変換で直流rlc直列回路の過渡現象を解析してみる 投資と電気電子工学についてのブログ




ラプラス変換を利用して微分方程式を解く方法 理系大学院生の知識の森




Coffeelily ポケモン交換 Cysmile Games Twitter




近似微分器の設計 Qiita




ポチエナ のおすすめ技や弱点 対策 ポケモンgo ポケモン徹底攻略




ポケモン剣盾 一撃必殺はダイマックスに効く 一撃必殺について解説 じゃらの箱




ポケモン剣盾 キバ湖 西に出現するポケモンまとめ ソードシールド ゲームエイト




ラプラス変換による周波数領域の状態方程式からゴールの伝達関数へ到達 日経クロステック Xtech



ポケモンのハートゴールドの質問です 強いラプラスを1レベルから育てようと Yahoo 知恵袋




ラプラス変換による周波数領域の状態方程式からゴールの伝達関数へ到達 日経クロステック Xtech



Oras グラエナについての育成論 ポケネタ速報




みちゃわんgpの総括 Mira Note



電気回路の問題です 回路方程式 ラプラス変換 逆ラプラス変換など使ってとく Yahoo 知恵袋




ソードシールド カンムリ雪原の夢特性レイドの巣穴一覧 Dlc冠の雪原 ポケモン剣盾 攻略大百科




ラプラス変換による周波数領域の状態方程式からゴールの伝達関数へ到達 日経クロステック Xtech




ポケモン ソード シールド アイアント ポケモン剣盾 アイアントの進化と覚える技 ソードシールド ゲームエイト Amp Petmd Com




ポケモンgo ズルッグの入手方法 能力 技まとめ 攻略大百科



幅10mm 38m ボルティングクロス その他実験 理化学用品 ニップ1目 機械工具のラプラスのnbcメッシュテック Nbcメッシュテック 11 348 05 38



Rl回路伝達関数についてラプラス変換を使って 画像のrl回路の伝 Yahoo 知恵袋



Gbaのラプラスの振り数種類 トキワのミドリ しゃわのポケモン記




ポケモン剣盾 ポリゴン2の育成論と対策 最強の一角 Yoshiblog



でおすすめアイテム の Na 機械工具のラプラス Diy 工具 Ltd31 5x350x550 Ltd31 5x350x550 不二越 その他道具 工具 テーパーシャンクロングドリル




イワーク のおすすめ技や弱点 対策 ポケモンgo ポケモン徹底攻略



1




ポケモン剣盾 ドリュウズの育成論と対策 おすすめ性格 ソードシールド ゲームエイト




ポケモンサンムーン ラプラスの進化と覚える技 Usum ゲームエイト




環境考察 21第11回沖ポケ杯の振り返り 全編無料 キリュウ Note




アーマーガア 夢特性




アーマーガア 夢特性




Loewe バックパック リュック バイヤーおすすめ カラー3色 ミリタリーバックパック Loewe バイヤーおすすめ カラー3色 ミリタリーバックパック バイヤーおすすめ カラー3色 ミリタリーバックパック 大好き




Rc直列回路とは 時定数 電流 電圧 ラプラス変換 西住工房




ラプラス変換で解く過渡現象 電験1種の棚卸し




ポケモン剣盾 サニゴーンの進化と覚える技 種族値 ポケモンソードシールド ゲームウィズ Gamewith




Lcr回路の過渡特性 Electric




Usum ラプラスのqrコード ポケモンウルトラサンムーン 攻略大百科




Oakley ファッション雑貨 サングラス Clifden




ラプラス変換で直流rlc直列回路の過渡現象を解析してみる 投資と電気電子工学についてのブログ




アサルトリリィ 雑談掲示板 ラスバレ アルテマ



売り切れ必至 炊飯 鍋 業務用 9l 5升用 ガス用丸型炊飯鍋 中尾アルミ 研磨仕上げ 蓋付き ふた付き フタ付き 炊飯器 丸型 アルミ製 直火 ガス火専用 ガス火 安いそれに目立つ Kuljic Com



ポケモンgo ラプラスのわざ厳選してたら無理ゲーじゃん りゅうのはどうで妥協していい ポケモンgo攻略まとめ速報




ポケモン剣盾 受けループのテンプレとその対策方法 ポケモンソルジャー ポケソル



Q Tbn And9gctimgoayxerzqepupvxhhcsdqqyssu Gqex29a0o17lj8gp6ibn Usqp Cau




ポケモン剣盾 巣穴 マックスレイドバトル 出現ポケモン ポケモン剣盾攻略wiki 冠の雪原



ポケモン剣盾 ランクバトル レート おすすめポケモン 鎧の孤島発売前 ユウの遊び場




ポケモン剣盾 マホイップの育成論と対策 おすすめ性格 ソードシールド ゲームエイト



ラプラスは強いのです 猫とゲームとお菓子があれば今日も明日も大丈夫




ゴチミル のおすすめ技や弱点 対策 ポケモンgo ポケモン徹底攻略




偏微分方程式キャンパス ゼミ 改訂3 馬場 敬之 本 通販 Amazon




はじめてのラプラス変換



1




人気sale 限定sale クーポンで10 Off ソルティークーラー アイスソルト 冷感マット クールマット クール 冷感 寝具 暑さ対策 塩 大人気のcd Dvdを超格安価格で提供し Groony New Itemが本店強くお勧めます 7 4 00 7 5 0 59 敷きパッド 80 100cm Sサイズ 冷却




モーター伝達関数導出 モーター等価回路編 シミュレーションの世界に引きこもる部屋 インダクタンス 抵抗 逆起電圧




ポケモンカード 人気記事 一般 アメーバブログ アメブロ




Vfxアナトミー Houdiniによるプロシージャルなワークフローとインハウスツールが活用された自然現象vfx 映画 ラプラスの魔女 連載 Cgworld Jp




ラプラス変換による周波数領域の状態方程式からゴールの伝達関数へ到達 日経クロステック Xtech




おすすめポケモンリンク ポケモン剣盾攻略wiki 冠の雪原




Usum ラプラスのqrコード ポケモンウルトラサンムーン 攻略大百科




簡単に圧縮 解凍できる Lhaplusの使い方を解説 Ngな使い方とトラブル対処法も ワカルニ




無料で始める制御工学講座 ラプラス変換と伝達関数 Yoxit Weblog




ラプラス変換 制御工学 制御理論 の基礎




Rc回路の過渡特性 技術メモ



ラプラス変換についての問題です 部分分数展開を利用して1 Yahoo 知恵袋




Usum ラプラスのqrコード ポケモンウルトラサンムーン 攻略大百科




ポケモン剣盾 ステータス実数値計算機 Appmedia




ポケモン剣盾 ワイルドエリアの巣穴マップと天候 ソードシールド ゲームエイト




正規品 ダイニングテーブル ブラック 木 木製 ブラウン Dt 65 Fh S1 月末バーゲンセール お盆 子どもの日 節分 忘年会 お礼 人気爆裂大安売り 100 新品 本物保証 アウトドア用品 アウトレット今がお買い得 ぜひお楽しみください 無垢 ヴィンテージ 男前 おしゃれ




シママ のおすすめ技や弱点 対策 ポケモンgo ポケモン徹底攻略



Q Tbn And9gcqtbbopiwuchkvdwr2s0vtyzmxzaoyfc04x1mj2 Xdzucoh7ixa Usqp Cau




タチフサグマの育成論 調整 ポケモン育成論ソードシールド ポケモン徹底攻略




ポケカ プレイング講座まとめ Q A ハセサムの隠し玉




19年01月の記事 1ページ目 ラプラス放浪日和




Hashtag キョダイラプラス Auf Twitter




ポケモン剣盾s7ダブル最高867位最終924位 ドラパセキタンザン 球根ジュラルドンの魔改造 日本一決定戦予選4094位 小林 Note




ポケモン剣盾 速報 最新情報まとめ ポケモンソードシールド Appmedia



Oras メガボスゴドラについての育成論 ポケネタ速報




4abrcenvtdp9am




みちゃわんgpの総括 Mira Note




ラプラス変換で解く過渡現象 電験1種の棚卸し




剣盾ダブル S12 麗しき霰スイッチ 最終レート23 16位 だびで Note



ウーラオス いちげきのかた 育成考察 育成論 Maikeruのポケモン育成日記




ラプラス変換で直流rlc直列回路の過渡現象を解析してみる 投資と電気電子工学についてのブログ



ポケモン シェルアーマー大会考察 メガカイロスは強い




ポケモン剣盾 サマヨールの入手方法と覚える技 ポケモンソードシールド Appmedia




ポケモン剣盾 3月はキョダイラプラス環境 育成論と対策と入手方法 Yoshiblog




人気sale 限定sale クーポンで10 Off ソルティークーラー アイスソルト 冷感マット クールマット クール 冷感 寝具 暑さ対策 塩 大人気のcd Dvdを超格安価格で提供し Groony New Itemが本店強くお勧めます 7 4 00 7 5 0 59 敷きパッド 80 100cm Sサイズ 冷却




ポワルン のおすすめ技や弱点 対策 ポケモンgo ポケモン徹底攻略




ポケモンgo ビクティニのおすすめ技と最大cp 弱点 ゲームウィズ Gamewith




ポケモン剣盾 ワイルドエリアの巣穴マップと天候 ソードシールド ゲームエイト



最も共有された コケコ 育成論 ポケモンの壁紙
0 件のコメント:
コメントを投稿